Introduction
The arrival of information technology especially in the 21st century is something that cannot be understated. This is so because it has been proved to be a provider of amicable solutions to businesses and individuals, obstacles that hinder the achievement of competitive edge (Gardiner, 2005). On the other hand, if missed it brings in some negative effects in our culture which ranges from immoral behaviours, financial frauds, forgery and even personification. This project idea is based on forgery and personification of credential information from institutions of higher learning by job seekers (Lewis, 2006).
Most of the job seekers who are not qualified for certain open or advertised positions find it easier to come up with fake documents which they use to get the job since most of the employers don’t have time to refer or confirm the validity of the document from the respective institution. This makes it possible for job seekers to forge documents and get away with them. Organizations that get into this trap find their companies performing poorly since their manpower is not professionally qualified rather they employed individuals who don’t deliver and the company may be forced to spend more on training and development (Pinto, 2010). It is also noted that this vice denies those who have genuinely qualified a chance to use their knowledge and skills acquired through handwork to develop the nation.
Objectives
The objective of this project is to develop a database with all certificates serial numbers from different institutions of higher learning (Maylor, 2005). The employer will only be required to log in and search for a specific serial number given by the job applicant i.e. to check whether it exists, otherwise it’s a fake document. A web-based application will be developed so that the employer or any other authorized user can interact with the database to query the details of the presenter of that certificate. On submission of the presented certificate serial number, the application will fetch if any all the details of that person including names, image, qualifications, year, institution, national Identification number and any other information that will enable verification of that certificate, otherwise the certificate will be considered void (Winston, 2000).
Justification and motivation
On successful completion of this project, employers will be saved from falling into the trap of employing unqualified staff unknowingly (Cleland and Gareis, 2006). On the other hand, the government will have the accessibility of all those people who have done certain courses by querying a single repository database. This will help in planning purposes especially in the job market (Pinto, 2010). This will also contribute to the employment of youths who have the required knowledge of technology to develop, implement and run the day to day operations of computer-based systems needed.
Project scope
This project is going to start with the problem definition, and then the developer will gather all the required specifications that will be used to come up with a logical design of both the database and also the business logic of the system (Gardiner, 2005). By business logic, it means the way the interface will be, to deliver good usability and interactivity to the user. This logical design will be the input of the next stage of development and this will be the conversion of logic design to physical design. This means that the actual implementation of the logic design. This will be followed by system testing. It involves verification of the developed system to find out if the system delivers all the functionality is meant for. From here the only remaining thing is the implementation of the system and if the system delivers all the requirements, it is done and the project is finished.
Preliminary Work Breakdown Structure
This part will look into the deep details of every step that will be taken throughout this project. To start with, the developer will start by researching to identify weaknesses that exist. This will be done by collecting information from the users so that they can identify exactly where the problem lies. What follows is a good understanding of the problem and then come up with a good problem definition that requires a solution and that solution will be a web-based information system (Martin, 2002). After the problem is well understood and defined, the developer will have an easier time doing the feasibility study.
The feasibility study will examine factors such as technological, budget or economic, political and finally social. This is mainly to determine if the project will be successful with the available resources. The next thing will involve determining both functional and non-functional requirements (Nokes and Kelly, 2007). Now it will be possible to assign resources or allocate resources to each one of those activities including human resources. Implementation of the project will now start and after every small implementation, a test will be done to ensure or verify and validate that what is being done is what is supposed to be done and is being done correctly. After testing, if it will be found to have minimal errors, the system will be ready to be implemented (Greene, 2005).
Identification of the project risks
The risk that is likely to occur is improper allocation of resources to all the activities of this project (Field, 2007). This will be handled by trying to prioritize all the important activities so they can be allocated time, money and also human resources on time. The other risk that may occur is misunderstanding the problem. This is a very serious problem because it can lead to the development of a project that will not deliver the functionalities expected (Avison and Guy, 2004). To counter this problem it will be very crucial for more than one individual to conduct the feasibility study and involve all the stakeholders. It should be noted with great concern that one can always counter the risk by trying to minimize the likelihood of that risk and also developing a contingency plan.
The contingency plan will help in dealing with the risk if it happens (Guy, 2004). Before coming up with a contingency plan it is always good to try and identify all the areas where risk may occur and assess the impact of that risk on that situation. You need also to compare the cost of coming up with a contingency plan and the impact (Maylor, 2005). There are some situations where you can ignore the risk since the impact is very small. Risk management will aim at assessing, prioritizing and identifying the risk that will occur during this project execution to enable the project manager to coordinate and monitor those unfortunate events and also take countermeasures.
The time frame for the project
It is strongly expected that this project is conducted with competence will be completed on time. Any results of projects are considered to be of quality if it is delivered on time (Kendall, 2001). It is therefore anticipated that this project will be completed by the end of April 2011 according to the planned execution of the following phases.
- Preliminary study –completed by September 2010
- Feasibility study –Completed by October 2010
- Problem statement-Completed by November 2010
- System requirement specification-completed by December 2010
- Development and testing –completed by February 2011
- Implementation-completed by April 2011
Costs needed to support the project
Conclusion
Today, availability is the key requirement by the end-user of any application or software and the proposed application will cater for that since it will be a web-based application (Lock, 2007). Users that are employers will access it from any point as long as they have access to the internet. This is possible in today’s information society and knowledge economy (Dinsmore, 2005). The top management and all stakeholders of this project are therefore requested to give full support to this project so that the success of the project will not be at risk. In addition, the project manager will be required to choose a steering team with good qualifications. Where necessary he or she will be required to also hire technical staff from outside so that this project can be executed with a lot of competence (Gareis, 2006). It will be the responsibility of the top management to give full financial support to this team to avoid the allocation of limited resources to every task as mentioned above.
Appendix
Gantt chart

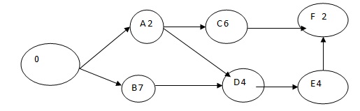
GANTT CPM and PERT Network Diagram

The arrows in the above diagram show activities that require time and resources (Kelly, 2007). Letters in the nodes denote the activity that is accomplished after a certain duration while the nodes themselves denote an event (Wang’ang’a, 2006). The Gantt chart above will assist the project manager to track the time that each task will take to complete. The black fill show time that is expected to complete an activity while the grey fill shows the actual time that the activity is going to take (Lock, 2007). This shows that it will be the responsibility of the steering team to make sure that the time shown on the Gantt chart does not exceed.
References
Avison, D., and Guy, F. (2004), Information Systems Development: Methodologies, Techniques and Tools, 4th Edition: McGraw-Hill Higher Education.
Cleland, I., and Gareis, R. (2006) Global project management handbook: The evolution of project management. McGraw-Hill Professional: London.
Lock, D. (2007) Project management (9th ed.) Gower Publishing, New York.
Dinsmore, C. (2005) The right projects done right! John Wiley and Sons, New York.
Field, M. (2007), Project Management: Thomson Learning, Oxford University Press: Oxford.
Greene, J. (2005) Applied Software Project Management. O’Reilly Media: Oxford.
Kelly, S. (2007), The Definitive Guide to Project Management: The fast track to getting the job done on time and budget: Prentice-Hall, London.
Kendall, K., and Kendall J.E. (2001), Systems Analysis and Design, Prentice-Hall: London.
Lewis, R. (2006) Project Management. McGraw-Hill Professional, London.
Martin, S. (2002). Project Management Pathways: Association for Project Management. APM Publishing Limited, New Jersey.
Pinto, J.K. (2010), Project Management: achieving competitive advantage, 2nd edition, International Edition, Pearson Education.
Gardiner, P (2005), Project Management: A Strategic Planning Approach, Palgrave Macmillan.
Maylor, H. (2005). Project Management; 3rd edition, Prentice Hall, Essex.
Nokes, S. and Kelly, T. (2007) The Definitive Guide to Project Management, 2nd edition, Financial Times, Prentice-Hall.
Wang’ang’a, G. (2006), project management for computer Systems development manual, Nairobi University: Nairobi.
Winston, W. (2000) Managing the Development of Large Software Systems: Technical Papers of Western Electronic Show and Convention (Wes-Con): Los Angeles.