Abstract
Education is Singapore has a vibrancy that has seen the establishment of many tertiary institutions. Apart from the three autonomous universities, viz Nanyang Technological University, National University of Singapore and the Singapore Management University, there is a contingent of internationally affiliated and nationally established private Universities that offer comprehensive programmes. In this diversity, students are spoilt for choices and a number of factors guide selection on which institution one attends.
Students graduate from GCE “A” level education to join the private and tertiary colleges across the country. The private universities and tertiary training institutions offer even greater avenue of choices than the public institutions that rely on central selections. In this way, students join these private educational institutions under a liberal criterion. The choice thus depends on the natural processes of selection that are influenced by determinants such as the cost of services, the quality of education, influences occasioned by fellow students and parents and other external factors such as location and natural affiliations to the institution of choice.
This study adventured into the characteristic behaviour of students in the choice process, before and during their initial days of making decisions, what affects their decisions and how these decisions influence their choice of institutions to join. Needless to say, the process of choice relies on perception built prior to making choices. This study focused on the process of choosing and what determines this choice, if there are specific lines of choice and what implicates the choice have on future establishments of these private colleges.
Choice of an institution to attend were found to rely on the perception of the students on the kind of services offered in the institutions they wanted to join again, these choices largely depended on the cost of programs offered and were also observed not to depend on the association a student had with the institution before as long as he/she considered the institution prestigious enough to suite his ego. Of the 76 respondents of the study, 92% acknowledged that the associated cost of learning affects their choice most. 88% of respondents in this study attributed their choice to prior communication while 65% associated their choice to prestige of the institutions.
From the conduct of this study, the researcher felt that the main objective of this study-behaviours affecting the choice of tertiary public education- was met although further and extensive study should be done to confirm, with greater certainty, the general behaviour across the country. A greater sample size would be appropriate to minimize errors associated with under representation.
Introduction
Consumer behaviour studies and choice decisions in buying are experienced in many disciplines. Buyer decision making processes are in the levels of individual or groups. Through trends such as psychographics and demographics, the group influences in setups, such as families, reference groups or friendship rings an individual is prone to shift choices. Belch defines customer behaviour as the processes of searching, selection, use, purchase, evaluation and disposal of goods and services in need satisfaction (Belch 2004).
Stages in consumer behaviour include problem recognition, information search, and evaluation of information, decision regarding purchase and finally decision after purchase evaluation. Problem recognition is described in the difference between want and need, the difference occasioned by the desire against the actual state of events. Motivation is responsible for driving a consumer to action with reference to his hierarchy of needs.
Once a problem is recognized, the consumer moves to find the relevant information regarding the service or product. This happens both internally in the memory and external research. Here, perception plays a major role in informing the consumers’ decision and which many vary in persons and groups thereby laying a totally different idea about the choice of products. What follows is evaluation of the received information with reference to likes and dislikes in particular sets of services or products. At this point, the product or service provider should be able to influence the consumer and sway them into accepting their brands. Attitude formation plays a very critical role (Belch 2007, p. 117). The multi-attribute model of attitude formation may be used to analyze the attitude formation in understanding what is best under different circumstances.
The consumer then makes his mind to purchase a product or employ the services being offered. The best alternative of the generated likely choices is taken this choice should be able to satisfy the consumer, at least by the time of picking it, otherwise this qualifies to be a regulated market. The choice is integrated into the mind such that any other alternative is at least left pending for further evaluation sometime else. The product or service after its use will naturally be subjected to after purchase evaluation. The pattern of this evaluation is associated to the satisfaction derived from the product. Many at times, this process determines future purchasing pattern for the consumer shall have known what is best in bidding for this product (Oliver 1993)
In understanding the behaviour of customers to services, their choice process is as important as their preferences and to a large extent, the inherent determinants of their choices. These determinants include diffusion innovation that depends on a consumer’s perception with reference to compatibility, communicability, divisibility, complexity and relative advantage (Keaveney 1995, p. 71-82). The second determinant is brand loyalty, which explains the degree with which consumers are committed to certain brand of services and depends on the cost associated with brand shift and availability of substitutes. Values and attitudes also determine the use of a service by a group in reference to their cultural considerations and are important as a factor in providing for different cultural variations. This is closely associated with manners and customs which dictate the best behaviour that relates to the use of service or products. It is a major determinant in service encounter. Last is the material culture that determines use of product or service on the basis of how closely affiliated or ownership strength a consumer has on a product.
In the education setting, choices are guided quite often by general perception and cost factors. Gregory (1982) notes that the complexity in choice as happens in the product or direct payable service markets like, say laundry or gardening, etc, is reduced. This is attributed to the fact that determinants of choice in education are relatively few and choice is focused on success of education no mater where it is achieved from. This therefore negates location as a potential factor in the process of choice. Again, choice for service or product has been associated with the degree of ownership of the product; technological origin, the origin of the brand name, the origin of most users of the product or service or even the associated direction of policy development. Education has very little regard especially in the public sector in the choice since all are equated to belong to the government, which by extension, belongs to “all of us”. The private domain, however, receives considerable choice based on affiliations. However, this affiliation dies off as the scope of the institutions vary to include students form other locations far a field.
Large institutions are known to employ policies that embrace different cultures. This has been instrumental in student integration and general positive perception of liberal service (William 1984). This, as opposed to smaller service delivery firms or institutions, negates possible choices based on negative perception on account of cultural misfit for customers. The idea of cross cultural interrelations such as in the very nature of the word “university” has helped to reduce the influence culture has on choice.
Parental guidance is known to extend to choice for their children. The effect of parental influence is greater in education choices especially in the lower primary and the secondary education. The choice is largely affected by what the parents think is good for their children in so doing, the parents confine their children to a small widow of choice and may be equated to lack of liberal choice capacity on the side of the student. As the student progresses in education, this choice is slowly reverted to the student who are then considered mature to make decisions. This apparently new found freedom is associated with decreasing understanding of the content of education at higher levels by the parents (David 1988). In this regard, the student assumes much freedom of choice because of apparent better information than the parent.
If the parent happens to understand the content of education at that level, they develop the recognition of the necessity of this choice in their children and allow free choice based on the interests of the children which they appreciate. Contrary to what happens in the other smaller or more interactive services, this choice may not respond to the cost since parents may want to sacrifice other opportunities to see their children in school. Private university enrolments usually mean, but not always, that the student did not have an opportunity to join the public universities. Some join because of perceived better performance in the private institutions or due to an assumption of better chances of getting a better job placement soon after university.
All the above factors necessitate enquiry to what extent they influence choice of which private institution to join. In Singapore, the situation is even made complex because the private universities enjoy a near monopoly over students from private institutions lower than the university or tertiary education.
This study will focus on the customers of private tertiary education in Singapore. The students have similar customer – service provider relationship typical in the market. In this study, the focus is on specific value aspects that shape the students’ understanding of operations of these institutions, and which is assumed to wholly affect their choice to attend them. The other factors which are discussed include government intervention as part of restriction to the activities, provisions in the constitution and its influence on learning in private tertiary education, and the associated quality of service provision.
Setting the scene
Singapore boasts of some of the best tertiary learning institutions in the Asia and pacific regions of the world. With European countries showing interest in conducting research in the countries large university campuses, there is a surety of the education endeavours receiving even grater expansion potential both locally and abroad. Students from Malaysia, China and the great Asian republics are finding it convenient to enrol in the Singaporean education system. This means that the tertiary education service industry should brace for more customers and increased complexity in customer behaviour.
The expected outcome of education in Singapore include moral uprightness, a clear understanding and appreciation of culture, respect for difference and a responsibility to the family and the community. A student is expected to believe in meritocracy, appreciate constraints but turn them into opportunities, participate in a society that is gracious, hardworking, a lover of teamwork, show confidence in facing adversity and be innovative. The student is also required to think globally but have the appreciation of Singapore and its roots. A student will strive to achieve in line with this philosophy.
Private education in Singapore is deeply rooted and rivals the public sector in all magnitudes though the state remains the principal service provider of education. The private sector has complemented the provision at all levels. This is done through running and supplementing education in commercial basis in fields such as business education, languages, fine art, and computer studies etcetera. The law requires that these private institutions register with the Ministry of Education by School Committees of Management and this is done through the Online Business Licensing Services effective from August 2004.
The general public appreciates the services offered by these institutions. The private tertiary institutions are numerous. The tertiary category have private comprehensive universities such as the SIM University, private specialized institutions such as INSEAD-Wharton Alliance and a number of foreign affiliated universities such as University of Chicago Graduate School of Business, S P Jain Center of management, The University of Nevada, Las Vegas (UNLV), ESSEC Business School, DigiPen Institute of Technology, Tisch School of the Arts Asia, the private business institutions partnering with various overseas universities such as Management Development Institute of Singapore (MDIS), Asia Pacific Management of Institute (APMI), Marketing Institute of Singapore (MIS), PSB Academy and etcetera.
In this study, a sample of students were chosen through a random sampling method from two private tertiary institutions and questioned over their preference for the institutions they are in prior to joining them and after joining them. From the list provided by the Management Institute of Singapore (MIS), a number of potential students to join the universities were also randomly sampled and contacts made to them. The response of these two groups of students was recorded and informs the findings of this study.
The Importance of understanding consumer behaviour in reference to choice of tertiary education
The secret to keeping customers happier for long lies in the understanding of customers and what they expect of the quality, cost and prestige associated with services. Services with these characteristics have an appeal that is difficult to resist since they support a wide range of lifestyles. Gordon Foxhall (www.bbc.comdoc_interview_04-02-06) says that marketing management is based upon conception and the subsequent behaviour of customers. Understanding a customer’s behaviour is key to attracting and keeping the customer since the service is then provided according to his / her goal achievements. In the education sector, the understanding of the student’s behaviour ensures that the general goals of education are assured to the student and are maintained. This is achieved through marketing best practices within the institution and ensuring that the needs of the students are met.
Individuals buy services to satisfy their wants and solve personal problems. Groups require services to meet communal demands. Organizations provide best services to remain relevant to society and to the requirements of economic upkeep of its members (Bearden 1982). This three-tier system is self sustaining courtesy of decisions made at the individual level. To attract customers to use their services, the organizations should understand the cause-effect relationship dynamics from individuals and groups. The stimuli these quarters control in service delivery customers’ response is defined by the consumption of their products and services marketers are interested in cause and effect relationships. Specifically the relationship between the stimuli they control as regards awareness, intentions, attitudes, perceptions, purchase decisions, satisfaction and loyalty. This knowledge helps in explaining how consumer behaviour reduces risk for acquisition of more buyers for the organizations services by studying how they decide on services to go for. This is relevant for the largely commercial private institutions which rely on the number of students enrolling for proper and viable operations.
This study is thus relevant to all aspects of understanding individual decision making processes that are helpful in marketing and planning for commercial institutions within and outside Singapore. It helps to unearth the inherent constraints that may not have been factored in considering the likelihood of students joining the private universities.
Objectives of the Study
In noting the variation in choice as consumer behaviour, there is a general belief, an assumption in this study, that certain factors will sway the choice students make to join different private institutions. These factors were responsible for formulating the aims of this study. This will now be discussed in the foregoing subchapter. The objectives of this study are as follows:
- To determine the factors for choice of tertiary education by students at the end of their pre-university GCE “A” level.
- To ascertain the factors that contributed to choice of tertiary education for students of private universities in Singapore
- To predict the future behaviour of potential university students in choosing private tertiary education in Singapore.
Guide to the contents of the report
This report is a serialization of chapters that expound on aspects of this study. Chapter one is an introduction to the chosen topic of behaviour in relation to choice of private tertiary education and also provides an overview on the trends of the public university enrolment in Singapore. The purpose of the research and objectives are also noted. This Chapter also gives a guide to the pace of the research report. It gives an overview of the exact scenario of the research field and is a guide to the hypothesis set for this study.
Chapter two talks about the review of literature in the perspective of the theories of behaviour in education with reference to private tertiary education, anticipated trends in this arena of choice of education and the conceptual framework in understanding of general consumer behaviour. In chapter three, the methodology of the research, the research design and its implementation, the study’s inherent biases and the limitations associated with this study are discussed. The methodologies available for this kind of study are reviewed and a choice made for the best in collecting data for this study.
In chapter four, the study focuses on the findings and the analysis of generated data. Here, the writer will use a predetermined analytical tool to test the relevance of the theories and deduce on the biases. Chapter five is the conclusion of the study and gives a summary of findings and the inferences from the study. Recommendations from the study are also given.
Summary of Chapter One
Chapter one is an introduction to the study. The scenario for this study is briefly highlighted with reference to the importance of understanding the behaviour associated with the choice of tertiary education in the private sector. The objectives of the study are then given. The chapter finalises on the summary of the important subheadings.
In the next chapter, the author strives to relate the theories of customer behaviour to the present scenario of institution choice.
Literature Review
In the previous chapter, an overview has been given regarding the general trends and behaviour in the choices available for potential students in considering joining private tertiary institutions of learning. The justification of carrying out the study has also been explicitly given and why studies in this field should continue.
This study will attempt to reconcile a number of theories that explain the economic or market driven forces that necessitate choice of private tertiary schools. The writer appreciates the effects of market demand, civic values in education, constitutional regulations and government policies in shaping such choices. Publications of Milton Friedman (1955) direct this discussion from the role of government intervention in education. Friedman championed a free economy of choice after the Keynesians. The choices in educational realm, he says, are shaped by general customer behaviours such as money spending behaviour, approach-avoidance behaviour and repatronage intentions. These are applied in context as the situation warrants of in the private education.
Models of consumer behaviour
This chapter is explicit on some economic models of consumer behaviour and their relevance in choice of education and narrows down to tertiary private education and how they borrow from the universal consumer behaviour, emotional considerations and the repatronage intentions of individuals.
The literature review of these theories helps to set a base for the formulation of hypotheses with reference to the requirements of the consumers (who are the students). Aspects of consumer actions and benefaction are discussed in the review. Three theories will be analysed to help in understanding of behaviour in educational choices. The rational-choice theory, the bureau-shaping theory and the multi-attribute models will be discussed.
The Rational Choice Theory
The theory of rational choice is a general understanding resource for social and economic behaviour in the market. The theory has also assisted in general modelling to suite it to specific definitions in behaviour of consumers. The rationality as described in all the specific forms of this theory assumes that individuals are free to choose depending on favourable factors and constraints in their understanding of choices. Understanding forms the basis of choice but may vary depending on the specific needs within ones domain of consumption, like in this case, the choice of education in tertiary institutions.
Rational choices are not necessarily real but should be guidelines in formulating hypothesis through liberal reasoning. Good hypotheses are those able to withstand empirical tests. Rational theory considers the behaviour of individuals in analyzing micro models. Empirical tests should be possibly done in the results of these models too.
The rational model finds relevance in a number of disciplines including sociology, economic analysis, and behavioural studies and to a specific extent, decisions related to macro settings and behaviour in legislature, social classes and bureaucracies (Dunleavy, 1991). In consideration for making a concrete decision, rational theory assumes that an individual is not in any duress to make a decision. He reasons, infer and consult market resources to come up with the best choice.
Under this theory, a student will decide to choose an institution based not on the influence of the institution itself, not on the government restrictive policies if any and not even on the influence of interests from the parents. This would ensure a fair choice.
Multi-attribute Model
The multi-attribute model applies mostly during the product learning period of choice process. Mayers and Sathi (1985). This model explains the process of consumer preference formation during which a hypothesis on attribute expectation formations takes place. This expectation may be used to come up with a multinomial logit model which recognizes learning or a product or service. The model can then be tested in a customer-service provider scenario. The results are usually positive for any proposal of a model structure. This model however failed in time aspects since the assumed stationary in time is not justified in real market dynamics.
The model however can predict decision making in uncertain terms such as when the customer has no prior knowledge of the services being offered. A case would be the examination of choice of an institution based on quality of service to which a new student may not have known. A reliance on market projections as in the case of received information from a former student will not be time considerate since it may have been sometime since the informer left. Circumstances may have changed.
The bureau-shaping theory
The bureau-shaping theory helps in understanding the consumer dynamism assisted with non governmental involvements (Dunleavy 1986, p. 236). As a specific on understanding the trends in choice for human services, the model can generate hypotheses about the origin of performance and reform from a central regulatory framework to a more freely functioning institution of service. Through this theory, an understanding can be coined of the private sector influence in decision making. It has a potential in understanding factors influencing the behaviour of an individual or a group with similar choice characteristics. The problems of systemic underperformance can be traced from central control of government to privatization of institutions which affect the choice of a service (Dunleavy 1986, p.337).
This model has methodological individualism embedded to it and assumes with reasonable truth that social actions or situations that are responded to in collective actions result from individual reactions to these situations. The mentality of control associated with governance may creep into the private sector to haunt the liberal choice.
Weinschrott (1977) cites the four major determinants of choice of private higher education as:
- Governance of institutions and associated educational quality;
- Civic values in the learning institutions;
- Effects of government policy churns; and
- Constitutional restrictions.
These factors play a collective role in influencing a choice or denying the same from a potential student with alienation towards a particular college, kind of education of both.

In this study, which aims at establishing the behaviour and trends in tertiary education choice in the Singapore, the effects associated with the factors of rational choice as well as established channels of approach/avoidance and repatronage intentions, the writer focuses on market dimensions to explain the variations that change the environment to favour the acceptance or avoidance of the choice based on rational decision. The student enjoys full rational and liberal decision in this case scenario. The analysis assumes that the stage is set and the student only acts on a specific environment as set up by the model.
Bitner’s (1992) in consideration of ambient conditions, (in this case referred to as market dimensions) says that they are solely responsible for influencing a customer’s behaviour. Wienschrott and Kilgore (1996) categorize the market dimensions under value acquisition enhancement factors and include value itself and the ease with which this is obtained.
In the next subsection, the focus is on the school environment (the holistic environment) for which the success or mess becomes the yardstick for measuring the rational acceptability of the choice.
The School Environment
The quality or the benchmark with which quality education is compared has its basis on the general learning environment lo which a students has an unbiased choice. This means that when choices are many and one seems attractive on the basis of quality, the latter will definitely be the choice described by liberty of rational decision.
The best school environment has its tenets on management of knowledge to suite the students. Allee (1997) describes the value of knowledge networks and its importance in educational enhancement which has become revolutionized through technology. There are several elements that describe this sustainability of knowledge that is associated to success. These elements are discussed below:
Quality of education
For an educational system to remain a lure to students, the quality of education should be upheld. This quality borrows from the quality of management are have been known to have an interrelation (Buckman 2004). Once a history of success in quality has been built, then the potential students will find it easy to associate with a given learning institution. This quality management is recurrent, an aspect that justifies its relation to quality in governance of an institution. The better the services are perceived by those inside the system, the greater the influence will spread even to those who are not yet in the system. A considerable number of students get their information from their brothers, sisters and relations within the university systems. This information is relayed as per the current circumstances of the institution. This means that what happens in the university today affects the behaviour of students in joining it tomorrow.
Similarly, involvement of parents in systems of education in tertiary level may have considerable effect on student institutional choices. Students whose parents are or were employed in the system receive considerable information that determines their options for joining their parents in such systems or joining alternative systems or institutions. The influence of parents in this regard means that students are generally affected by the placement or opinion of their parents concerning education systems.
There is need to understand the importance of stressing quality in education. This is usually referred to as education standard. Even though the study does not focus on the management aspect of tertiary education, its effects on quality is a big determinant in student choice and enrolment which should form a further study in the Singaporean tertiary education under consumerism.
Cost of education
The cost of having a tertiary education is considered an investment that pays off quite sooner than at any other level in the education system in Singapore and the world over (MoE). This means that for any amount of investment in tertiary education, the expectations are higher than at any other stage in formal education. Trends in higher education are indicative of a rising cost of the education in the bachelor’s level up to 80% higher than in the secondary and up to 50% that in the pre-university colleges in the world (Huijsman 1986).
Findings of fiscal school choice program in the US by Susan (2006) indicate that under the same fiscal policy or balance for both public and private institutions, where one is allowed to choose to study in a private institution or a public one, with payments made through public coffers, the net effect is that high expectations from private entities diminish. This indicates that a choice for a low paying program in public institution is not a justification for poor quality of training but just a perception.
Considerably, the cost effect in choice is so paramount that it must be considered in all aspects of product and service choices including education. Parents, even in wanting to give the best in terms of education, may have to redirect their children’s choice of education based on the costs quoted. This has the determinant effect of balancing needs between the very necessary in decreasing priority up to the least necessary.
The cost of training in private tertiary institutions has been equated to mean better services which on the contrary are not justifiable. This cost issue remains a deciding factor in ones choice of a tertiary education. The pattern of enrolment is intended to favour high quality with minimal costs not justified in real education system for privacy is equated to best service. This is quite emotional considering that the attachment to high cost for better services is not rationally justified.
Prestige
The pleasantry of association with a good thing is inwardly rewarding to consumers (Bellizzi and Hite 1992). The image of a product or service to a client is known to trigger actions that cause others to want to copy thus creating a liking for the same (Levy and Weitz, 2007 and Guilford and Smith, 1959). In tangible products, colours do the calming and pleasant feelings. In service, the inherent prestige with which users of services behave can seduce others. According to Bellizzi et al. (1983), cool-coloured store environments are preferred over warm-coloured store environments in store choice, for example.
Sowell (2007) argues that prestige of an institution is a big factor in determining the choice students and their parents make in selecting the institution of destination after ordinary or advanced levels. He urges that prestige reflects on application since the more prestigious, the higher the application and therefore, the higher the number of rejected applications. Students get really disappointed if they are rejected by institutions to which they had set their minds. Parents on the other hand may overspend or go into debts to finance their students when they meet entry and invitation into prestigious institutions.
Students usually insist and parents may follow suit to want to finance prestigious education. This is hyped by the media as they strive to showcase the best performing and with trendy facilities in the education industry. Usually, rankings done by government agencies or private entities play a greater role in the perception of students about prestigious institutions. These rankings made only on the basis of input may be deceiving. Richard Vadder of the Centre of College Productivity and Affordability in the US equates the kind of ranking through input rather than both input and output to ranking chefs based on the ingredients of a meal rather than the meal itself and considers this imperfect. Nonetheless, these rankings have played a key role in influencing student perception in joining certain colleges (Weischroitt 1997).
Needless to say however, the prestige may be deceiving since what may be associated with the prestige like celebrated professionals may not at all be directly involved in the training of freshmen. Kargbo (2007) concurs but introduces the aspect of real prestige in good education that is associated with getting the best no matter what circumstances. Students aspire to get to the top of education ladder in the hope of enjoying the prestigious tag associated with the institution(s) attended. A nested logit model developed for determinants of choice of institutions to attend found out that elasticity of choice in reference to tuition is quite low and that even after considering affirmative action compliances in choice, the less privileged associate with prestigious institutions that those that are not ad whose attraction to such institutions is less (Montgomery 2002).
Employment Assurance
The biggest assurance in university education is in a higher possibility of getting a well paying job after college. Graduate jobs are associated with good payments and an easy rise in ranks in ones career as opposed to other tertiary or education for diploma or certification courses. A continual study in postgraduate with potential in research and capacity development is also assured. This is a challenge most students will wish to realize save for costs and time incurred. Having a degree thus opens up many doors for students.
It is also believed that the acquisition of university education increases the capacity of students to indulge in self employment. For this to happen, students prefer those institutions whose programmes are friendly enough to the job requirements.
Government policies and regulations and immediate relations such as teachers and aspirations of a student and the subjects studied at school have a bearing on future employment of a student. In the light of this, most students choose institutions in which they believe their career aspirations will be nurtured (Kagaari 2007). Estelle et al (1989) in an experiment to gauge the determinants of choice in colleges and with special emphasis on learning, enhanced earning, formation of value and advanced research ability, note that of all the four chosen aspects, better earnings are regarded highest in choice of where one would which to take his higher education.
Before proceeding to the tertiary education, the ordinary or advanced school grade plays a very important role in the choice of institution to attend and the future career. College quality at the tertiary level determines the potential for future employment, a fact that determines the choice of college that students prefer to go to (Daniel et al 1997).
Consumer Emotional Responses and Purchase Behaviour
Studies on performances by service providers on emotional response by consumers indicate that there are predictors to behaviour of the potential and existing clients. These behaviours are usually influenced positively (Linda et al 1995, p.34). The intimacy created as a result of the encounters and time taken during the encounter affects the report levels and the perceived importance of the services to the customer. This constitutes emotional response in studying consumer behaviour.
Ingrid et al (2001), state that emotional content is grouped into three levels that include subordinate, the basic and the super ordinate levels. Subordinate explain most of the scenarios of customer satisfaction that is contributed to by positive surprise, contentment with a service and pleasure. When a service has provided a positive surprise in a client, the response would be to want more and more of the service. The contentment that follows after a service well received instigates the customer to think that that is how service is done there every their time and will always consider the service first at any other time when he/she needs it. This is sometimes referred to as recurrent customary. The pleasure derived from this kind of service is usually shared with others in a process to legitimize it above other people’s. This is an ego effect and is repetitive. The customer then develops the tendency to approach the service more and more.
Negative influence occurs as a result of negative emotions such as disappointment and irritation. When disappointment occurs for a client in service delivery, the first wish is that of wanting to revoke the order of the service. When this becomes impossible, regret sets in. the customer then substitutes the service to robbery which, the ego equates for inequality in society. The customer becomes deeply irritated since at times, the transaction may not be necessarily illegal but just unaccepted on the part of the customer. This necessitates withdrawal or avoidance of the service altogether.
Positive internal responses to the services at institutions lead to ‘approach’ which is positive behaviour such as wanting to associate with the institution, inviting friends to join in the “pleasure” and being loyal. This has a positive effect on attracting the potential customers (students) by proxy. On the other hand, negative internal responses lead to ‘avoidance’. These can be seen in regret as indicated by other students who may have been in these institutions before. They develop remorse for having associated with the status and in most cases will not want to share their experiences.
Such approach-avoidance reactions take place in an individual due to the emotional state and are responsible for making choices or influencing others’ decisions indirectly. This situation is illustrated below:

Repatronage Intentions
Repatronage is a redress process of consumer complaint behaviour. A study by Blodgett et al (1995) on the effects of customer service on behaviour of consumers in complaints suggest that the major factor that determines seeking of redress by some customers while others walk away to rebuff is the perceived likelihood of success. It also shows that when one seeks redress, two things are in his mind; receiving fair settlement or expecting respect and courtesy treatment.
Bitner’s (1992) framework suggests that positive perceptions will result in “approach” behaviour such as attraction, stay and return. In another way described by Wakefield and Blodgett (1996), satisfaction has a positive effect on customers’ repatronage intentions.
According to Wagner et al (1999), customers may for the first time patronize an establishment because of their interest but may not return if they are not satisfied with the services offered. This results from evaluation of service experience and sharing of the same to other potential customers. (Smith et al, 2002).
Summary of Chapter Two
In summary, the responses and choices of a particular service is a reference to a customer’s preference under liberal considerations. The customer reacts to the forces of demand and supply with perception being the major determinant of his/her choices. The customer will approach a situation in service or product purchase depending on the extent to which the service satisfies his ego, then to what degree others will influence the choice he has made. Usually, the model for behaviour will refer to universal liberal state of choice and will necessitate an action of approach or avoidance depending on the effects of the service.
In the choice for higher learning educational services, the considerations that play greatly are the need for a better employment immediately after completion of university, aspects of prestige and comfortable of association with a succeeding outfit, the quality of service delivered and the cost associated with learning in such institutions. Factors that are inherent in this making these decisions are constitutional regulations, quality of management, civic values that guide choice of education and government policies.
Research Methodology
This chapter is an attempt to identifying and describing the design of the research and type of sampling. The chosen research method is then introduced. The kind of tabulation of gathered data is also briefly discussed. Lastly, the explanation is given for the derivation of the hypotheses of the study. The choice of the methodology is informed by the author’s knowledge of theoretical trends in customer behaviour. The choice of samples corresponds to standards in conducting a representative survey that depicts real customer behaviour. In this study, the samples are real customers (students) who engage in real service search (tertiary education in private institutions).
Research Design
Wong (1999) describes research design as the procedures and methods for the conduct of a project of research. It details the guidelines of directing a study or research into its objectives. Churchill (1999) and Zykmund (2000) concur that there exists three forms of research designs. These are the descriptive types, the exploratory type and the causal types or research.
According to many authors (Churchill, 1999; Wong, 1999; and Zikmund, 2000), there are three types of research design, namely the exploratory research, descriptive research and causal research.
Exploratory research suits scenarios where the researcher is totally new to the area of the research and is thus an explorer in its simplest description. The researcher focuses on listening and discovery to obtain his data. This has the advantage of understanding greatly about the scenario under study (Wong 1999). Through this, the researcher defines the nature of the problem and easily formulates the hypotheses with very little bias (Zikmund 2000).
Causal research explores and establishes a cause-and-effect relationship in laboratory settings between experimental variables. The variables must be known and tested for this reality (Wong 1999, p.58). Causal designs find greater relevance in technological as well as scientific studies.
The final design is the descriptive research design. It describes the characteristics of the population being studied such as behaviour, responses to external stimuli or phenomenon description of interest in any study. It relies on numeric data gathered and interpreted for the purpose of scenario analysis. Descriptive design is usually qualitative
Of all the designs, it is agreeable that descriptive design suits this study because it takes the form of investigation of consumer behaviour through measurable data. Descriptive research design is recommended when the purpose of the research is cantered on generating accurate data that can be relied on statistically.
There are two forms of descriptive data according to Zikmund (2000). These are longitudinal and cross-sectional forms of descriptive data. In longitudinal studies, there are panels that provide successive measurements at given times of an event’s history (Churchill, 1991).
In this study, the cross-sectional design fits the bill because it facilitates a comprehensive analysis of a group of customers (students) who have the same behaviour characteristics to the study subject at different times. The variable that is determinant is thus the composition or the apparent difference in personality and by extension, tastes which necessitates the variation in choice. The measurement is done at a single point in time and generates measurement data (Wong 1999, p.58). This study thus embraced cross-sectional descriptive design to measure how students make choices.
Sampling Design
In choosing descriptive design, one should have a relatively larger number of samples (in this case, respondents) to make the study viable (Wong 1999, p.54). While acknowledging that the size of the sample is not always, and can never be representative of the real data coverage, it is at best chosen because of restraints in time.
In this study, and for convenience in time, non-probability purposive sampling was done. This gave the advantage of choosing only those conveniently and purposively at best in representing the general trend in consumer dynamism under study. The choice of students for target response was thus restricted to the students of Marketing Institute of Singapore (MIS) and Asia Pacific Management of Institute (APMI) Singapore. A total number of 85 students, 8 from the Asia Pacific Management of Institute (APMI) Singapore and 68 from Management Institute of Singapore were targeted for this study. This number was considered conveniently representative of all students into private institutions regarding group dynamic similarities within student behaviour.
Data Collection
Data collection employed both primary and secondary sources. While secondary data would provide a rational view of the scenario, primary data would be instrumental in real analysis of events.
Primary and Secondary Data Collection
Data collection for this study took place in two forms: primary and secondary. Primary data collection through posting of questionnaires and interviews formed the major part of data information source. The secondary portion relied on journals, books on consumer behaviour and sources from news articles on what is education-related. This research focused on quantitative research. This, according to Wong (1999, p.111), the use of quantitative research is best in deriving quantifiable and numerically accurate data.
The researcher used closed ended questionnaires for data gathering to save on time because of their non requirement for skill in inquiry and their ease of use in tabulation.
Development of Questionnaires
The questionnaire developed for this study was in two sections namely: demographic and scaling questions both of which were made as closed as possible to save on time.
Pre-testing of questionnaire
The questionnaire was pre-tested to ensure ease of use by the respondents. This was done in a small-scale pilot test of 4 respondents within Marketing Institute of Singapore (MIS). All the piloting respondents were approached randomly and they accepted to participate. The researcher happens to be a student of Marketing Institute of Singapore and considered this quite economical. The feedback was used to refine the final questionnaires.
Final Data Collection
The questionnaire was fine-tuned and dispatched to chosen respondents. This was done within the campus to save on costs while still remaining relevant to the proposed methodology. The respondents had instructions to fill them in and return them to a specific collection point within the campus. A total of 77 questionnaires were developed and successfully dispatched.
As for the students from Asia Pacific Management of Institute (APMI) Singapore, their addresses were confirmed and questionnaires dispatched by mail with express instructions to fill them and return to the researcher. A total of 8 questionnaires were dispatched. This method was considered because it favours concentration as opposed to say, online questionnaire, which is usually considered spam and unattended to.
Method of Data Analysis
The researcher used Ms Office Enterprise Excel application to statistically analyse the data. Correlation analysis was established for the data set based on the statements developed in the questionnaire.
Hypotheses
According to Churchill (1999, p.101) a hypothesis is a statement that explains the relationship between two or more variables in analysis. The statement should be clear on the stated relationship between the variables which must be measurable. In this study, the influence based on quality of service in private institutions was measured in relation to the behaviour characteristic of students in their choice of the institutions. This led to the following hypotheses:
- The choice of tertiary education in private institutions is dependent on the perceived quality of services, quality of management, cost of educational programs offered and the prestige associated with attending the institution
- Positive perception leads to choice of the institution while negative perception leads to rejection
- The nature of services offered to continuing students indirectly affects the choice of the institutions based on influence occasioned on the potential freshmen
- Communication emanating from the institutions directly affects perceptions of would be students.
Responses gathered were tested for compliance with the above hypotheses using basic statistical analysis.
Assumptions of the study
The following assumptions were made during the research:
- That government policies and constitutional implications on education are regulated by the Ministry of Education (MOE) and are not biased.
- That civic values based on tribes have marginal effect on choice of higher education.
- That location and ownership of the institutions do not have any effect on the choice of an institution for all non-foreign students.
Summary of Chapter
This chapter reviewed the methodology adopted by the researcher in collecting and analysing the data. The researcher employed descriptive sample surveys that are known to bring out behavioural characteristics in customers. This was instrumental in formulating the hypotheses for the study that were tested in the forward chapters.
Findings and Analysis
This chapter is a presentation of the data that was gathered during the survey. The data is presented in tables and organised for analysis. Analysis is then done on the basis of the research objectives enumerated in chapter one of this report.
Description of Sample
A total of 76 responses out of the expected 85 were received for this study. The data was analysed using the Ms Excel 2007 package.
Table 4.1: Demographics of Respondents.
All the respondents of APMI submitted their questionnaires, while 9 abstained among those from the MIS. Of the 76, 8 were from the APMI while 68 were from MIS. The data shows a near normal distribution of respondents with 44 (58% of sampled population) being male while 41 (54%) being female. This is an indication of the interest that the study generates across the gender divide (Koehler, 1996).
Hypotheses Decisions
As was contained in the questionnaires posted to the respondents, they were to agree with anticipated determinants of their choice of the institution they are in (for MIS students) and the choice of institution they are attending (for APMI) students. Data was collated from the questionnaires and summarised into the following table showing the demographics of determinants for each category of respondents and their take on each of the determinants as a raw presentation of the data gathered.
Table 4.2: Demographics of respondents by institution in agreement with determinants of their choices.
This data was entered into spreadsheets and analysed for the strength of the hypotheses and the objectives. The following subchapter summarised various determinants with dereference to choice for each group of students. Scales of disagreement were to be strongly disagree, disagree, neutral, agree and strongly agree. On each extreme end of the scale, those strongly disagreeing indicated that they rejected the determinant of choice and vice versa.
Scale of disagreement in relation to determinants of choice
Table 4.2.1: Percentage of concurrence per scale of disagreement for each determinant.
* Frequency
General demographic variations in perceptions of choice determinants findings
The table shows an increase in percentage of those strongly agreeing that the choice of an institution is determined by the cost (92.1%) prior communication (88.2) and prestige (65.8) and an agreement across the respondents that quality of service and management and influence on students affects choice (69.7% and 68.4% respectively). There is disagreement that the sense of ownership and the location of the institution affect the choice to join institutions (23.7% and 26.3% respectively). This can be shown in the graph below:

Figure 4.2.1 shows a very unique presentation in perception of different determinants of choice. The determinants are in two distinct classes; those that positively influence choice and those that negatively do the same. As shown in the graph above, cost is the most agreeable determinant indicating that a majority of students consider it the major factor of choice (92.1% agreement) while sense of ownership had the lowest consideration for choice (0%). The other determinants vary across the scale in different magnitudes.
The inference that can be made here is that while cost remains the core determinant of choice, the other determinants are perceived differently based on the personality of the respondents. While some may agree that the next best determinant without reference to the first variable which is cost, i.e. cost and the second variable are mutually exclusive, would be prior information, others based on the personality difference, would cite quality of service or prestige. It is this variation in personality that informed the ranking that is presented in the graph above. This variation is in line with the hypothesis that personality difference influences choice. The inference is that both attitudes towards flexibility associated with prestige and comfort which is accounted for by quality of service, as well as being pro-environmentally inclined that is considered in this study by quality of management influences how the individual chooses a mode of education.
Using a Max Diff analysis, the evaluation of the respondents for the determinants such that cost ranks highest in choice while sense of ownership lowest, the items may be placed on a scale as above, the possible implied pairs would be seven out of the eight paired comparisons such that if A = cost and H = sense of ownership, then A>B, A>C, A>D, A>E A>F, A.G B>C, D, B>E,F,G, C>D, E,F,G etc. this can be done manually for statistical data that are mutually exclusive; the raw counts and sums up the number a determinant got selected as strongly agreeable or strongly disagreeable.
By using MaxDiff scaling, the scales are easily found since respondents choose between existing options while reliably delivering a scale or rank that is importantly reflected in the determinants. Through the use of algorithms, such as the procedure of Hierarchical Bayesian, the perceived values on individual level reveal perceptions directly that influences the transformation in service features.
A Bayesian process was used to analyze the observations above so that:
For data x and parameters ν, an initial probability p(ν) with likelihood p(x|ν) for calculating a final probability p(x|ν) ∞ p(x|ν)p(ν). is given with ν depending on other parameters φ not considered. This implies that a prior value p(ν) should be replaced as p(x|φ), and p(φ) on φ is required, thus giving;
p(ν,φ|ν) ∞ p(x|ν)p(ν|φ)p(φ).
In this case we have N=8 quantities xi, i = 1, …, n, and have a normal distribution in xi with known standard deviation σ, then;
xi ∼ N(νi,σ2)
where N = 8
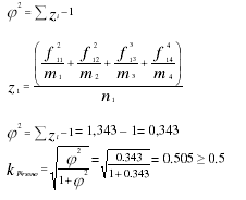
To assess the relation of the respondents’ perception and choice for tertiary education, the nonparametric factor – Pirson correlation coefficient Pirson (Aivazian, 2001; Uberla, 1971) was used. Having analyzed the interaction of the respondent’s perception and choice, we can say that the relation between these phenomena is significant.

Where φ2– mutual coefficient calculated as follows:

The general hypothesis is verified:
m·φ2 = 355·0.343≈122
f = (5·1)*(4·1) = 12
From Pirson table, when the level x2 = 0,01, with f=12, critical limit is x2 = 26,2
having verified null hypothesis we can say that kPirsono is statistically significant. kPirsono statistically proved hypothesis that the relation of the customer income and expenses for milk products is very tight.
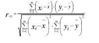
To define the relation of two variables (population income and expenses for milk products) cohesion, the correlation coefficient xy r was calculated.
Since m is equal to three hundred and fifty five and is greater than one hundred then it is taken as different from null.

r xy = 0.48 relation between respondents perception and choice is average.
Having calculated regression coefficient, we can state that the direct functional relation between respondent perceptions and choice exists.
Agreement, Neutrality and Disagreement in determinants of choice
In comparing general agreement and general disagreement on the effects of the determinants on choice, the researcher realised that there is a clear margin of distinction between the determinants of choice and those that do not. This is shown in the table below.
Table4.2.2: Agreement, Neutrality and Disagreement in determinants of choice.
All factors except the location and sense of ownership positively determine the choice of an institution, the highest being cost (100%) followed by prior communication (97.4%) and then quality of service (93.4%), quality of management (90.8%), prestige (88.2%), and degree of influence (67.1%). On the other hand, sense of ownership scores lowest in acceptance (0%) followed by location (6.6%) on the extreme end. The neutrality of agreement to choice can be safely assumed in this regard.
This finding indicates that cost still determines the magnitude of perception of tertiary education to an extent higher than any other determinants. Sense of ownership is least perceived as able to influence choice. This fact is presented in the bar graph below.

Correlation between degree of agreement and the probability of choice
That the choice of an institution depends on positive perception on the determinants was tested and the following results found. This was done through a simplistic mean testing that involves rational decision for a liner relationship of real data when there is a normal distribution about the mean (Trevor 1978). The margin of acceptance of choice or rejection of the same was taken to be 50% in both cases of agreement and disagreement. The state of neutrality was assumed to have no impact of choice i.e. neutrality = null acceptance = null rejection.

This decision is summarised in the table below.
Table 4.2.3 Summary of Hypotheses Decision.
Summary of Chapter Four
The results shown in the analysis above are within the acceptable degree of hypothesis. The degree of agreement for choice hypothesised for all determinants have been shown to hold positive. All the determinants of choice for tertiary private education are agreeable to the students with the exception of location and the sense of ownership of the institutions.
Conclusion
This chapter concludes the study.
Findings of the study
The study agrees with the findings of Mayer (1985) that determinants of a choice for a private tertiary education depends on the cost of the education program, perceptions related to prestige of the institutions, the kind and quality of management and service delivery, the influence prior to choice and prior communication received pertaining to the institution. This shows the strength of a customer’s perception of a service prior to being offered as predicted by Churchill (1999).
Factors such as location of the institution and the sense of association prior to a student’s choice have minimal sway to the ultimate choice. The behaviour in choice of tertiary private education perfectly conforms to the hypothesis that perception and cost of service are the greatest determinants of choice in a liberal market.
Implications of the study
Implications related to cost of courses
This study has a great implication to the providers of private tertiary education as an alternative to government funded public schools. The first implication is on the regulation of costs to compete favourably in the market. Cost is associated with class and thus students may have a perception that the institution, based on the cost of education, belongs only to the reach and no efforts therefore should be made to achieve the requirements for joining them. The cost may also bring about influence of choice by the parents of the students. Parents may want to justify an alternative institution based on the cost. The institution that quotes less for the same or related course may be chosen as opposed to that charging higher for the same course. Managements of the institutions should balance the costs of study to accommodate the students’ fear of much costly education. The cost should be set so as to compete favourably with other institutions and to allay fears associated with extreme commercialization of education in the private institutions at the expense of real content of the course which may work to even further lower the level of positive perception.
Implications related to prestige
Prestige associated with the institution performance in different fields of higher education should be upheld to lure students into choosing the best perceived institution. Moreover, negative perception of the status of prestige on potential students should be minimized through effective communication. The aspect of prestige should be used to sell the institution further. Much should be done by the institutions to build positively on positive perception. Output such as the quality of education after the students get out of campus should be enhanced as a measure of prestige while ignoring perceptions based on inputs such as facility development, the number of students or courses students enrol for or even the kind of professional courses attributed to the institution. Rather performance and ability to achieve set standards and adherence to quality regulations should inform this sense of prestige.
Government intervention in private education
The government regulation on private education is also put into check in this study. The study infers that for the choices to be made, the government regulations should be as fair and as equal as possible to the private educational practice. This is to ensure that biases which may favour inconsiderably some institutions while doing a disservice to yet others do not arise. It is therefore important for the government through the Ministry of Education to ensure that the current free will enjoyed by tertiary institutions in private education is maintained. The government should as much as possible regulate the existing equality biases such as confining the type of courses to specific institutions based on the nature of their programmes. The private institutions should be encouraged through government policies to offer comprehensive and diverse courses as is the case at MIS private university.
Implications related to influence
The degree of influence in this study is relatively high. This implies that the extent to which continuing students in the various institutions affect the decision of the potential students is very high. Influence especially from parents is known to be far fetched and sometimes maliciously so to avoid committing to either a costly education or to a negatively perceived institution. Parents out of mere ignorance may influence their children to opt for a different course that appears to them competitive while ignoring the student’s line of interest. Private institutions are therefore advised to adhere to better practices in providing services and in management of the institutions. The poorer the services, the greater the influence will be on the negative. Similarly, the better the services and management, the higher the influence will be on the positive. This is a scenario which counterbalances choices based on influenced perception. Equally important should be investment in informing the public abut their programmes and their degree of flexibility to assure students that what they offer is better than anywhere else.
Other implications include those related to the location of the institution. While most students support the argument that location of an institution does not affect their choice for the institution, a few were of an alternative opinion. Some students are known to prefer urban or cosmopolitan settings to encompass their choice institutions of higher learning while others associate rural settings to comfort and peace that is important for concentration in studies (Friedman 1990). While setting up tertiary institutions, the managements of these institutions should be informed about the trends in these kinds of choices. A further study should be done in Singapore to ascertain the effects of such choices in setting up institutions.
Similarly, while a number of students agreed that the aspect of a student’s prior association with an institution has no much influence in the choice of a particular institution, it is known that affiliations such as those related to religion play a major role in choice of institutions of higher learning as is reported by Donleavy (1991). A Muslim will be comfortable in an Islamic oriented institution, a Christian and a Buddhist will also love an institution that advocates Christianity or Buddhism most of the time.
Accordingly the author concluded that the choice of tertiary private education based on cost, prestige, quality of service, influence and quality of management vary according to specific students. However, cost is considered the most influential in this choice followed by prior communication, quality of service, quality of management, prestige, influence, location and lastly, sense of ownership.
Again, cost was ranked the most strongly agreeable by many students. It was followed by communication, prestige, quality of service quality of management, the degree of influence and lastly, affiliation with the institution. The consecutive low ranking of affiliation may be attributed to the assumption that private institutions are for profit thus a general perception that what by paying money to it, the expected repatronage may not come true except when it turns into educational investment. This argument is supported by Ruyter (1997) that the more one feels ownership of a service or product, the more the perceptions is upheld and vice versa.
The study has also identified that effects of quality of service and those of management are proportional to positive perception. This can be explained as a direct result of satisfaction with a service. To this end Rossiter’s (1982) argument that once a customer develops a liking for a service, other choices will be biased towards a fulfillment associated with the first. This is a perfect approach and may trigger a chain of attachments in the customer to the service. While it may not hold perfectly true for all people, the results of this study at least inform positively this fact.
While acknowledging the impact of prestige in influencing a choice of institutions, such choices can vary as one gets acquainted with the system of choice. This prestige perception may return to haunt the provider if out of positive feeling, a customer experiences unexpected negativity. While this may not translate to a choice that counterbalances the previous choice, it usually turns into influence as the customer reverts to rebuke the choice for which a priority had been given. This is in agreement with Spies (1997) that unrewarded positive perception escalates to dethrone the initial excitement and replaces it with remorse if an expectation is not met.
The study was categorical that effects of school choice are seldom gender oriented. In this study, the number of female respondents almost matched those of the male, an indication of the necessity of education y both gender. This however disagrees with Yildirim’s (2007) view that females will want to select prestige more than any other determinant in choice. This was seen not to hold as all students chose in relatively similar trends as had been hypothesized.
Limitation of the study
The study was limited to analysing the behaviour in choice of private tertiary education by students in Singapore. The findings of this study may therefore not be applicable to determinants of such choices in public tertiary institutions in the republic of Singapore or in any other country. Similarly the private education settings in other countries with different systems of education may not benefit from the findings of this study. The study was also limited in sources of data and only obtained data from purposive sources. The choices of other sources may actually vary from those that are presented in this study. This study may thus be considered source specific and with limited implications that are confined to realising the needs of the students and not anyone else.
Needless to say, the study focused its findings on immediate effects of these determinants on choice. While agreeing that these determinants have real effects on choice, it should also be noted that choices are dynamic, and as reported in this study, will probably be determined by the stage of customer response. From problem specification in choice, through evaluation of various presented choices, settling on a choice, returning to use the same and finally the repatronage stage, a choice process is actually dynamic and will change from stage to stage depending on the mood of the customer. In this study, choice is assumed to follow a single temporal variation where one determinant does not affect the other. The study assumes that the determinants of choice are mutually exclusive and were therefore considered independently. This may therefore not be appropriately apply in a multivariate analysis of consumer behaviour where for example, the relationship between the cost and prestige or influence and prior knowledge or even cost vis a vis quality of education or quality of service and management are compared on a multiple scale against the degree of choice. Such studies are complex and need greater statistical correlation analysis that is limited in this study.
Recommendations for further studies
The researcher recommends that a study of a wider scope carried out to confirm with greater certainty the behaviour of students in choosing private tertiary education. This could include the whole country and focus on all private institutions. Time should also be added to facilitate longer interaction with students in studies of such kind.
Achievements of objectives
The major objective of this study was to investigate student’s behaviour in choosing tertiary education especially from private institutions. The study was able to prove that the process of choice is controlled by perception and the anticipated cost of education. The students employ the acceptance/ rejection process in evaluating their choices and settles on a choice based on the said determinants. The ejectives were therefore successfully achieved.
Summary of Chapter
The chapter set out to analyse and report findings while enumerating the implications of this study. Limitations and recommendations are also given based on the scope of this study. The assessment of achievement of the study objectives is also given. This chapter summarises the study by concluding that perception plays a major role in the choice behaviour of customers.
References
Gregory, Jackson (1982) Efficiency and Private Choice in Tertiary Education, Educational Evaluation and Policy Analysis.
David, Kodde &Jozef, Ritzen (1988) Effects of Parental Education Level on Student’s Educational Choices, The Journal of Human Resources.
Glenn, A. Bryan, Thomas, W. Whipple (1995) Teaching Elasticity claim for Higher Education, Higher Education Journal.
Huijsman, T., Kloek, Kodde, J.M.M.,Ritzen(1998) Analysis of college enrollment in The Netherlands, Chandara.
William, C. Weiler, F.,Scott Wilson(1984) Prediction of the enrollment effects, Research in Higher Education.
Enlow, Robert (2006) Freedom & education: Milton Friedman’s Voucher plan at Fifty, Cato Institute.
Friedman, Milton (2002) Capitalism and Freedom. University of Chicago Press.
Friedman, Milton (1990) Freedom to Choose: A Personal Statement, Harvest Books.
Friedman, Milton (2008) Economics: Selected Papers, University of Chicago Journals.
Dunleavy, P. Public Choice. Hempstead: Harvester, 1991.
Weischrott, David (1997) Higher Education in the US. Review of the Empirical Literature Rand Corporation Published.
Allee, V. (1997) Evolution of Knowledge: Expanding Organizational Intelligence, Elsevier.
Allee, V. (2003) Future of Knowledge: Increased Prosperity, Elsevier.
Bukman, R. H. (2004) A Knowledge Organization. London: McGraw Hill.
Susan, Aud. et al. (1990) Foundation Choice By Numbers. California: School Financial Effect Programs.
Bellizzi, J. et al. (1992) “Consumer and Purchase Likelihood”, Marketing & Psychology, Vol. 9 No.5, pp.347.
Bellizzi, J. et al. (1983) “Color and Store Design”, a Journal of Retailing, Vol. 59 pp.21-45.
Levy, Weitz (2006) Retailing Management. Irwin: McGraw-Hill.
Smith, P. C. (1959) “Color preferences”, Psychology Journal.
Sowell, T. (2007) “Education Vs Prestige”. Liberals and Rednecks: Hoover Institution.
Estelle, James (1989) Quality and Future Earnings in Colleges: Where should your child go to school? Economic Review, Vol. 79, No. 2.
Daniel, Black, et al. (1997)– Manuscript (Unpublished), University of Maryland.
Linda, Price et al. (1997) Consumers’ and emotions in service encounters.
Arnould, Eric et al. (1995) Journal of Industry Management, Vol.6 no3.
Ingrid, Rhoen (2001), Affective responses Economic Psychology Journal Vol. 22, no3.
Wakefield, K. et al. (1995) Services Marketing Journal , Vol. 9, no 3, Emerald Group.
Wagner, Bolton(1999) “A customer satisfaction model,” Journal of Marketing Research.
Smith, K, et al. (2002) Academy of Marketing Journal of Science.
Smith, K and Bolton, Ruth (1999) Effects of emotions on judgment.
Oliver, R. (1993) Purchaser Examiner, Cognition and Trait Bases. London: Chicago Press.
Belch, G. (2004) Public marketing: An Incorporated Marketing relations Perspective. New York: McGraw-Hill.
Keaveney, Susan (Apr, 1995) Service Performance by Customers in Industries: An Exploratory Study, Journal of Marketing, Vol. 59, No. 2, 71-82. Web.
Bearden, W. et al. (1982) Journal of Consumer Research. New York: Chicago Press.
William, Beardenand. Influence on Product and Brand Purchase Decisions.
Zikmund, W. (2000) Exploring Marketing Research.London: The Dryden Press.
Churchill, G. (1999) Studies in Marketing fundamentals. London: The Dryen Press.
Loudon & Bitta (1993) Consumer Behavior. New York: McGraw Hill,.
Briety, Reeder (1991) Industrial Marketing, Second Ed, PHI.
Kanuk & : Schifman (1997) Consumer Behavior, PHI, 6th Ed.
Meyer, Robert et al. (1985) A Multi-attribute Model Marketing Science, Vol. 4, No. 1.
Vetter, R. Ward, C. Shapiro (1995), Using color and text. London: McGraw 46
Peter, K. (1993) American Slavery, 1619-1877. New York: Hill and Wang.
Aquilano, N., Chase, R., & Jacobs F., (2006) Operations management for competitive advantage. 11th ed. New York: McGraw-Hill.
Claude W. & Johannes L. (1999) Achieving Quality through Continual Improvement. New York: Wiley.
Simnett, I. (1995) Managing Health Promotion: Developing Healthy Organizations and Communities. John Wiley & Sons: Chichester.
Bachmann, C. & Hannun, E. (2001) ‘Education inequality in developing countries’, Annual Review of Sociology, 27, pp. 77-102.
Boyd, D. et al. (2003) Teacher Labor Markets Consideration: Implications for Equity. Albany NY: Education Finance Research Consortium.
Chapman, D. & Lowther, M.A. (1982) ‘Teachers Approval with Teaching’, Journal of Educational Research, 75 (4), pp. 241-247.
Nurnane, R.J. (1981) ‘Understanding Teacher in business’, Harvard Education Review, 57 (2), pp. 177-182.
Ames, R.T. & David L.H. (2003) Making life significant. New York: Ballantine Books.
Fingarette, H. (1998) The Secular and Sacred marketing : Prospect Heights. Waveland Press: Inc.
Fung, Y. (1966) A brief history of Chinese business. New York: The Free Press.
Zhaoguang, Z. (1998) The world of knowledge: Thought and Belief before the Seventh Century in China.
Zhongguo, S. (2002) A history of Chinesemarketing. Fudan University Press: Ling Beijing University Press.
Lewis, D. L. (1993) Du Bois biography of a race, 1868-1919. New York: Henry Holt and Co.
House, E. R. (1978) ‘Primary models for evaluation and evaluation’, Educational Researcher, 7 (3), pp. 4-12.
Stufflebeam, D. L. & Webster, W. J. (1980) ‘Investigation of other approaches to
Business’, Educational Evaluation and Policy Analysis, 2 (3), pp.5-19.
Collins, J. Mullan, B.F. Holbert, J.M. (2002) Evaluation of speakers: National marketing. Bus. Educ
Daffner, R.H. (2003) ‘advertisement presentations: using PowerPoint’, Roentgenol, 181, pp.47-49.
Holzl J. (1997) Twelve tips: Effective PowerPoint presentations for the advertisement challenges. Bus Teach, 19, pp.175-179.
Stuart J, R. (1978) lStudents’ concentration during lectures. Lancet; 2:514-516.
Appendices
Appendix A: Statement of Learning
This dissertation has instilled in me the understanding of consumer (student) behaviour in considering a choice of a variety of similar services (private tertiary education) as well as the determinants of choice in such scenarios. The process has also enabled me to understand the stages of evaluating objectives in a research study and in confirmation of hypotheses set for a study. The process of secondary data acquisition also enabled me to appreciate the importance of consultative research and theory building through evaluating the necessary material and acknowledging the research gaps. These have great implications in my marketing and managerial analyses of scenarios.
With the assistance of my supervisor, Mr. Justin KUNG, I have gained a lot in data presentation, analysis and inferences. The data gathering process also enabled me appreciate the value of customer consideration in making decisions that end up affecting them. The process was interactive and had a very rewarding experience of having first hand exchange that takes place between marketing executives and the customers in market scenarios. This had an impact in my understanding of consumer dynamics in the process of choice and perception based on a number of environmental factors.
Through the guidance of my supervisor, I have been able to adhere to the guidelines of the process of generating dissertations, which is good for report writing. His continual guidance enabled me to be on track. His positive criticism and correction enabled me to adhere to deadline while ensuring that the dissertation was of substance.
Overall, this study had instilled in me strong evaluation and analytical skills with which i am going to face the job market with confidence. I strongly believe that this piece of research work will remain useful to all the stakeholders mentioned herein and that it will be received positively for possible implementation where that fits.
Appendix B
Questionnaire
“A Study of students’ Behaviours in selecting Private Tertiary Education in Singapore”
A dear respondent, your commitment to completing the questionnaire is greatly appreciated.
Please mark (X) in the appropriate box for your answer, unless otherwise stated.
Personal Particular (Optional)
- Gender:
- Female
- Male
- Institution:
- MIS
Year of study:
- First
- Second
- Third
- Other
Previous Institution attended:……………………………………………………………………………………
- RP
Previous Institution attended:……………………………………………………………………………………
- Location of permanent Residence: ……………………………………………………………………………..
Consumer Behaviour
To what extent do you agree that the following factors affect(ed) your choice to join this institution?
I wish to thank you for your time and effort in filling in this questionnaire. Your contribution will assist in the success and completion of this study.